2017年 センター 化学基礎 解説

2018センター試験 化学 基礎じゃない方 解答解説速報 とある化学教師でググって 楽天ブログ
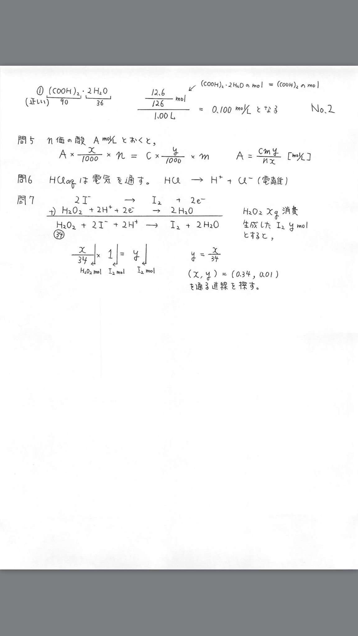
1
2017センター試験 化学基礎 解答解説速報 とある化学教師でググって 楽天ブログ
2014年センター化学 解答解説速報 とある化学教師でググって 楽天ブログ

大学入試センター試験実戦問題集化学基礎 2017 メルカリ
2016センター試験 化学 の解答解説速報 とある化学教師でググって 楽天ブログ
2016センター試験 化学 の解答解説速報 とある化学教師でググって 楽天ブログ
橋爪健作 On Twitter 2017年センター追試 化学基礎解説 Https T Co Vne1kyincs Twitter

河合塾テキスト センター試験化学 メルカリ

西村能一 科学の名著50冊が1冊でざっと学べる Kadokawa No Ichi 2017年11月 Page 2 Twilog

2019センター試験 化学基礎 解答解説速報 とある化学教師でググって 楽天ブログ